Degree of Coverage
In designing a pilot or exploratory survey, a preliminary calculation of necessary sampling effort is degree of coverage (Aglen 1989). Degree of coverage (Λ) is defined as:
|
|
[19] |
where:
D is the cruise track length, and;
A is the size of the survey area.
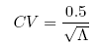
Errors associated with abundance estimates decrease as Λ increases. Aglen (1989) present an empirical relationships between the CV (SE/mean) and Λ as:
|
|
[20] |
If you wish to sample a 200 km2 (Oneida Lake) with a CV of 25%, Λ needs to be a least 4 [from [20]: Λ = (0.5/CV)2] and therefore the survey length D can be calculated from [19]:

A total survey length of 57 km is an acceptable starting point for pilot survey design. Current transect design in Oneida Lake results in approximately 65 km of transects and CV range from 8 to 26% (Rudstam et al. 2002).
Note that the choise of units does not matter as long as distance and area are in the same base unit (km and km2, 100m and ha, nm and nm2, m and m2).