Near-field Distance Calculation
If using a transducer with frequency f=120 kHz, with half power beam angle of θ3dB = 7o and speed of sound c=1450 m•s-1, then we may compute first the wavelength λ:
,
second the wave number k:

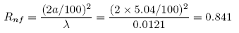
third the active radius a (here given in cm):

and finally, near-field distance:

Data from within 1.7 m (2•Rnf) of the transducer face should not be included in the analysis.